叉乘是向量运算中的一种重要的运算方式,常用于计算向量之间的垂直关系。本文将为您详细介绍叉乘的定义、计算方法以及应用场景。

1. 定义:
叉乘,又称向量积或外积,是一种在三维空间中操作向量的运算方法。它的结果是一个新的向量,其方向垂直于原来的两个向量,大小由两个向量的长度以及夹角决定。叉乘通常用符号"×"表示,如A×B。
2. 计算方法:
叉乘的计算方法可以通过行列式的形式表示:
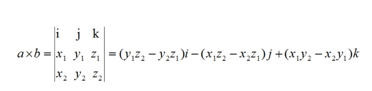
A×B = | i j k |
| Ax Ay Az |
| Bx By Bz |
其中,i、j、k分别代表x、y、z轴的单位向量;Ax、Ay、Az分别代表向量A的分量;Bx、By、Bz分别代表向量B的分量。
以计算叉乘C=A×B为例,我们可以按照如下步骤进行计算:
- 计算C的x分量:
Cx = Ay * Bz - Az * By
- 计算C的y分量:
Cy = Az * Bx - Ax * Bz
- 计算C的z分量:
Cz = Ax * By - Ay * Bx
最终,得到叉乘C的结果。
需要注意的是,叉乘满足右手定则,即将右手的食指指向A的方向,中指指向B的方向,那么拇指所指的方向就是叉乘C的方向。
3. 应用场景:
叉乘在几何学和力学中有着广泛的应用。以下是几个常见的应用场景:
- 法向量计算:在计算机图形学中,叉乘常用于计算平面的法向量。通过叉乘,我们可以快速求解出一个平面的垂直方向的向量,从而实现更加逼真的图像渲染效果。
- 磁场力计算:根据洛伦兹力的公式,叉乘常被用于计算磁场力的方向和大小。在物理学的研究中,我们可以通过叉乘得到磁场力的矢量表达式。
- 运动学分析:在机器人学和运动学分析中,叉乘可以帮助我们计算物体的角速度、角加速度等相关参数,从而对机器人的运动进行精确分析和控制。
- 构造坐标系:在三维空间中,通过叉乘我们可以构造出新的坐标系。具体而言,我们可以通过两个线性无关的向量的叉乘得到垂直于这两个向量构成的平面上的第三个向量,从而构建出更加完备的三维坐标系。
在以上的应用场景中,叉乘都起着至关重要的作用,并且为我们提供了解决复杂问题的有效方法。
总结:
叉乘是向量运算的一种重要方式,通过计算两个向量的叉乘,我们可以得到一个垂直于原向量的新向量。叉乘的计算方法可以通过行列式形式表示,根据右手定则得到结果的方向。叉乘在几何学、物理学以及运动学等多个领域都有着广泛的应用,为我们解决问题提供了有效的方法。通过学习叉乘的定义、计算方法以及应用场景,我们可以更好地理解和应用叉乘这个重要的向量运算。
云作文原创内容,未经允许不得转载。