在研究向量运算时,叉乘是一个重要而又有趣的概念。它被广泛应用于数学、物理、计算机图形学等领域。在进行叉乘运算时,我们常常需要判断叉乘的方向。本文将深入探讨叉乘方向判断的原理和方法。

一、什么是叉乘
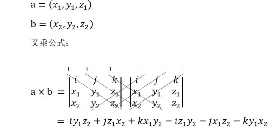
叉乘,也称为向量积或外积,是一种在三维空间中两个向量的乘积运算。它的结果是一个新的向量,它垂直于原有两个向量所在的平面,并遵循右手定则。叉乘的结果向量的模长等于两个向量的模长乘积与它们之间夹角的正弦值的乘积。
二、叉乘方向的判断规则
为了判断叉乘的方向,我们需要掌握右手定则。右手定则是一个用于确定向量叉乘方向的规则。具体来说,我们可以用右手来表示方向,通过伸出大拇指、食指和中指,分别代表三个向量a、b和结果向量c。将大拇指指向向量a,食指指向向量b,那么中指所指的方向就是叉乘结果向量c的方向。
三、应用实例:计算平面法向量
知道了叉乘方向的判断规则后,我们可以运用它来计算平面的法向量。以三维空间中的三个点A(x1, y1, z1)、B(x2, y2, z2)、C(x3, y3, z3)为例,我们可以利用向量AB和向量AC进行叉乘运算得到平面的法向量。
计算两个向量的差向量:
AB = B - A = (x2 - x1, y2 - y1, z2 - z1)
AC = C - A = (x3 - x1, y3 - y1, z3 - z1)
然后进行叉乘运算:
n = AB x AC = (y2 - y1)(z3 - z1) - (z2 - z1)(y3 - y1), (z2 - z1)(x3 - x1) - (x2 - x1)(z3 - z1), (x2 - x1)(y3 - y1) - (y2 - y1)(x3 - x1)
通过叉乘的结果向量n的方向,我们可以判断平面的法向量所朝的方向。如果n的方向朝上,则法向量指向平面的正上方;如果n的方向朝下,则法向量指向平面的正下方。
四、其他应用场景
除了计算平面的法向量,叉乘方向的判断还可以应用于其他领域。比如,在计算机图形学中,我们常常需要进行投影变换和视图旋转。利用叉乘方向的判断规则,我们可以判断出旋转后的物体朝向,从而更好地呈现出真实的三维效果。
另外,在物理学中,叉乘方向的判断也有着重要的应用。例如,在电磁学中,洛伦兹力可以根据叉乘得到,其方向可以决定电荷在磁场中受力的方向。此外,在机器人学、航天航空等领域,叉乘方向的判断也有着广泛的应用。
结语:
叉乘方向的判断在向量运算中起着至关重要的作用。通过掌握叉乘方向判断的规则,在应用中我们可以更加准确地计算向量叉乘的结果,并根据结果方向作出合理的判断。叉乘方向的判断不仅帮助我们解决数学问题,还可以应用于物理、计算机图形学等各个领域,丰富我们的知识和扩展我们的能力。让我们一起尽情探索叉乘方向判断的奥秘,走进向量运算的精彩世界吧!
云作文原创内容,未经允许不得转载。